به گزارش شهرآرانیوز - محققان میگویند فرد با دومین یا سومین دفعه ابتلا میتواند با پیامدهایی روبهرو شود که در اولین ابتلا آنها را ندیده بود.
زیاد العلی از دانشکده پزشکی دانشگاه واشنگتن آمریکا اخیراً بههمراه تیمی از محققان بهدنبال پاسخ این پرسش رفتند که آیا اثر دومین یا سومین ابتلا به ویروس کرونا بر سلامت فرد مانند اولین ابتلا است یا خیر. آنها میگویند شانس رویارویی با مشکلات سلامتی در افرادی که بهصورت مکرر به کرونا مبتلا میشوند، با هر بار ابتلا افزایش مییابد.
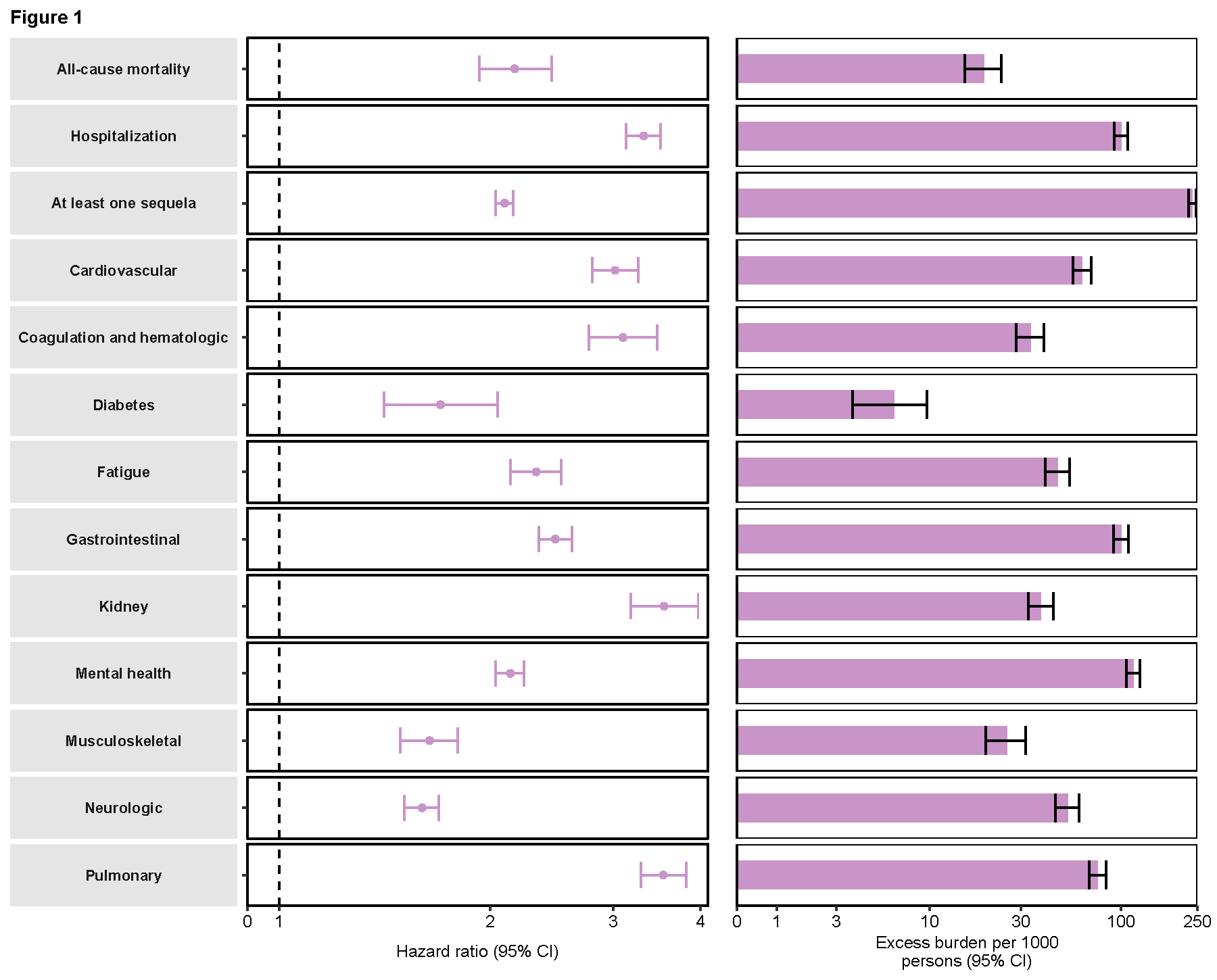
افزایش دو برابری ریسک مرگ و سه برابری ریسک بستری شدن، مشکلات قلبی و لخته شدن خون
پژوهشگران در این تحقیق به سراغ میلیونها کهنهسرباز آمریکایی رفتند تا ببینند اثر ابتلای دوم یا سوم به کرونا در آنها چه بوده است. آنها همچنین یک گروه کنترل از پنج میلیون فرد سالم را تحت نظر قرار دادند که تاکنون کرونا نگرفته بودند. سپس نرخ بروز بیماری در این گروهها را با هم مقایسه کردند.
العلی میگوید: «تحقیق ما بدون تردید نشان داد که ابتلای دوباره، سهباره و چهارباره منجر به ریسک بیشتر در فازهای حاد بیماری یعنی در ۳۰ روز نخست پس از ابتلا و ماههای پس از آن میشود. این یعنی حتی اگر تاکنون دوبار کرونا گرفتهاید، بهتر است سومی را نگیرید و اگر سهبار مبتلا شدهاید، بهتر است از چهارمین دفعه اجتناب کنید.»
این یافتهها نشان میدهد که افراد در دومین یا سومین دفعه ابتلا به کرونا در مقایسه با کسانی که فقط یکبار به این ویروس مبتلا شدهاند، با سه برابر احتمال بیشتر برای مشکلات قلبی یا کلیوی و تقریباً دوبرابر احتمال بیشتر برای اختلالهای عصبی روبهرو هستند.

افزایش ریسک دیابت، خستگی، مشکلات کلیوی، اختلالهای روانی، مشکلات عصبی و ریوی
در مجموع ریسکهای سلامتی در هنگام ابتلای مجدد به کرونا در ۳۰ روز نخست عفونت در بالاترین حالت قرار دارند، اما برخی از این ریسکها تا ششماه باقی میمانند. جالب است که این افزایش ریسک ارتباطی با وضعیت واکسیناسیون فرد ندارد.
العلی میگوید تحقیق آنها نشان میدهد افراد در دومین یا سومین ابتلا به ویروس کرونا با خطر بزرگتری برای سلامتی خود روبهرو میشوند؛ بنابراین نباید تصور کرد که اگر دفعات نخست ابتلا به این بیماری برای شما راحت بوده، ابتلای دوباره به کرونا مشکل حادی بهدنبال نخواهد داشت. این مسئله بهخصوص از آن جهت اهمیت دارد که در حال ورود به فصل زمستان هستیم و باید بیشتر از خود مراقبت کنیم. نتایج این مطالعه در مجله Nature Medicine منتشر شده است.
منبع: دیجیاتو